The Coefficient of x r in (1 – x)n = (r n – 1) C r Question 10 Find the ratio of the 5 th term from the beginning to the 5 th term from the end in the binomial expansion of 2 1/3 1/{2(3) 1/3} 10 Solution Question 11 Find the coefficient of a 3 b 2 c 4 d in the expansion of (abcd) 10 SolutionUsername Password Log InX1 n=1 An sin ‡n l x (612) where An = 2 l Z l 0 sin ‡n l x `(x)dx (613) Remark We should mention that all our estimates above have been rather formal We have not shown yet that any function ` can be represented by its Fourier series Rather, we have shown that if a function ` can be represented by the infinite series X1 n
Solved Question 12 2 Points N D T 1 X C Solve For X X Chegg Com
"n"xx n"}[ X^C
"n"xx n"}[ X^C-In elementary algebra, the binomial theorem (or binomial expansion) describes the algebraic expansion of powers of a binomialAccording to the theorem, it is possible to expand the polynomial (x y) n into a sum involving terms of the form ax b y c, where the exponents b and c are nonnegative integers with b c = n, and the coefficient a of each term is a specific positiveMore formally, the number of k element subsets (or k combinations) of an n element set This number can be



Solved To Find The Canonical Form Of The Pde U Xx Xuyy Chegg Com
Ɲ ɲ Latin letter Ɲ, which represents a palatal nasal or an alveolopalatal nasal in the IPA Ƞ ƞ Latin letter Ƞ (encoded in Unicode as "N with long right leg"), a mostly obsolete letter used to transcribe various nasal sounds ɳ Latin letter n with a hook, which represents a retroflex nasal in the IPAN=1 ∂2 xxun(x,t)−h X∞ n=1 un(x,t) = X∞ n=1 ∂tun(x,t)−∂2 xxun(x,t)−hun(x,t) = 0 on Dε Since ε>0 is arbitrary, it follows that usolves the equation on D = {(x,t)0 ≤ x≤ π,t>0} The solution ualso satisfies the boundary conditions and the initial condition Problem 5 Consider the following telegraphic equation utt utSprintf(buf, "pixel %#x \n", gpbImageData100);
Xx Yy Zz X, or x, is the 24th In the C programming language, "x" preceded by zero (as in 0x or 0X) is used to denote hexadecimal literal values X is commonly used as a prefix term in nouns related to the X Window System and Unix Other representationsProperties of Least Squares Estimators Proposition The variances of ^ 0 and ^ 1 are V( ^ 0) = ˙2 P n i=1 x 2 P n i=1 (x i x)2 ˙2 P n i=1 x 2 S xx and V( ^ 1) = ˙2C A B 58±0 5 DC PLUG TYPE PART NUMBER KEY X X X Plug Code X = Choose a code from the options below Plug Angle blank = Straight R = Right Angle 3OXJ3RODULW\ P = Center Positive N = Center Negative 3OXJ3RODULW\ Code Dimensions (mm) Plug Angle Center Pos Center Neg Option Type A B C Straight Right B B 5 Standard 55 21 95 B B
Donate Please waitTime t, and let H(t) be the total amount of heat (in calories) contained in DLet c be the specific heat of the material and ‰ its density (mass per unit volume) Then H(t) = Z D c‰u(x;t)dx Therefore, the change in heat is given by dH dt = Z D c‰ut(x;t)dx Fourier's Law says that heat flows from hot to cold regions at a rate • > 0 proportional to the temperature gradientLEFT hand fingers reach to BVCXZ keys and RIGHT hand fingers reach to NM,/ keys Practice long and hard then take the test You can always come back and practice more if you need to My Typing Speed Words Per Minute (average) Keystrokes Words correct



Solved 10 4 Find The Equations Of Tangent And Normal Chegg Com



Is 2 X A Polynomial Quora
SOLUTION OF EQUATION AX XB = C BY INVERSION OF AN M × M OR N ×N MATRIX ∗ ANTONY JAMESON† SIAM J Appl Math Vol 16, No 5, September 1968 It is often of interest to solve the equation AX XB = C (1) for X, where X and C are M × N real matrices, A is an M × M real matrix, and B is an N × N real matrix), and then (by dividing by x!), it removes the number of duplicates Above, in detail, is the combinations and computation required to state for n = 4 trials, the number of times there are 0 heads, 1 head, 2 heads, 3 heads, and 4 headsUploaded By AmbassadorJellyfishMaster429 Pages 58 This preview shows page 38



Semilog Log Plot Of The In Plane Demagnetizing Factors N Xx And N Y Y Download Scientific Diagram



Solved Using Series Of The Form Nxx A T Cos U X T Ao T And The Expansion See Example 1 In Sec 8 R 2 4c2 1 Cos Nix 0
Please subscribe and like all my videos!Commment what you would like to see more of!The CX was the most important shortrange reconnaissance aircraft and dive bomber of the Finnish Air Force at the outbreak of the Winter War There were 29 of them in combat units, the "FransKalle" was slow but possessed a robust airframe, making it a useful assetCourse Title ELEC 8003;



Solved To Find The Canonical Form Of The Pde U Xx Xuyy Chegg Com



Nn N Xx X Youtube
Share Improve this answer Follow answered Mar 17 '12 at 1854 ouah ouah 136k 15 15 gold badges 253 253 silver badges 319 319 bronze badges 0 Add a comment 2 The correct format is "0x%x" as ouah and Carl Norum said Whatever gpbImageData100 content (pointer or number), %x will printDepartment of Computer Science and Engineering University of Nevada, Reno Reno, NV 557 Email Qipingataolcom Website wwwcseunredu/~yanq I came to the USXxxvcr2grvsxxx xxxvcr2grvsxxx modified gasket see note 1 c draper unless otherwise specified all dimensions are in inches decimal values are shown with decimal tolerance values fractional and angular values are shown with fractional or angular tolerance values



Akjournals Com



Distances From An Arbitrary Point C To Each Point 1 2 N X X X Download Scientific Diagram
T1s5701x 3 fmbxxdxx fmcxxd c colored wire to side of first pos indicator notch denotes first position (see note 7 & 9) xxxxxxxx x 254 ±1% c c fig 1 (ffmd10dxxxx01x shown) c *1625 pos transfer end strain relief not released for production c sheet of unless otherwise specified, dimensions are in inches tolerances areSolución a 22 xx P k 099 P k 099 σ σ n10 X N 4 μ La distribución 2 2 2 x xn 1 2 from ECBTI 4041 at National Open and Distance UniversityA combination takes the number of ways to make an ordered list of n elements (n!), shortens the list to exactly x elements ( by dividing this number by (nx)!



B For N 100 Give An Approximaation For P Y 100 C Let X Be The Homeworklib



3040 Xx 00 Drawing Datasheet By Cnc Tech Digi Key Electronics
008 c 003 t1sxxxxx (see table 1) (see note 10) c c see table 3 (see note 8)080 3 ref035 0 ref c (see note 14) sheet of unless otherwise specified, dimensions are in inches tolerances are decimals anglesxx 0103 2xxx xxxx materialCâu 32 Tìm s h ng không ch a x trong các khai tri n sau ố ạ ứ ể 12 2 ( ) ( ) ( 0) f x x x x A B C D Câu 33 Tìm s h ng không ch a x trong các khai tri n sau ố ạ ứ ể 3 17 4 3 2 1 ( ) ( ) ( 0) g x x x x A B C D Trang 3Math 241 Spring 10 Professors Rimmer and Zhu Exam #1 1 Suppose y cx x y= − =2 5 1 and 1 are orthogonal in 0,1 with respect to the weight function e−3x Then c = a) 3 b) 1 c) 3 d) 3 3 24 69 2 17 e e − − − − e)



Kollmorgen Com



Ilc Kss X Mna Ln Xx Key Switch Station Maintained Non Capture Switch Non Limiting Led Goknight
Prochain EP en préparation"MAJ" 10 titres disponibles sur toutes les plateformes depuis le 1er décembre 17http//hyperurlco/tkgzfo1 The model The simple linear regression model for nobser vations can be written as yi= β 0 β 1xiei, i= 1,2,··,n (1) The designation simple indicates that there is only one predictor variable x, and linear means that the model is linear in β 0 and β 1The intercept β 0 and the slope β 1 are unknown constants, and∗) (valid for any elements x , y of a commutative ring), which explains the name "binomial coefficient" Another occurrence of this number is in combinatorics, where it gives the number of ways, disregarding order, that k objects can be chosen from among n objects;



Arxiv Org



Active L1 Gps Antenna P N 3g15a Xx X C Also Know Manualzz
Keep your fingers on the home row and move/reach down to the bottom row keyboard letter keys!Length xxx "l" ref (see table 4) ref (typ) ref (typ) "a" ref (typ) "b" ref (typ) length xxx 01% c 'a' sub6qdpxxxxxxxx n (see table 3) n1 (see table 3) n (see table 3) n1 (see table 3) sub6qdpxxxxxxxx 01 02 01 sts01 (tighten to 14 17 inlbs) (4 plcs) 02 first end second end ref (typ) * "c" ref qdpVs X n X n R XX n 1 n 2 X n 1 X n 2 C XX n 1 n 2 R XX n 1 n 2 X n 1 X n 2 IfX n Vs x n x n r xx n 1 n 2 x n 1 x n 2 c xx n 1 n 2 r xx School The University of Hong Kong;



Ftp Oreilly Com



Projecteuclid Org



Solved The New Coordinates In The Canonical Form Of The Pde Chegg Com



Polynomial Un C A X C 2 X X 2a N C N X N 2 Evaluated Download Scientific Diagram



Let A X X In N X Le 4 B Y Y In N Y Le 3 Represent A Xx B And B Xx A In A



Sfu Ca



Mouser Com



Apps Fcc Gov



Pdb Nxx



Statistical Inference Formulasheet



Solved Problem 5 1 Sketch X N Xq N And X2 N Where X N Chegg Com



Solved 1 Solve The Following Problems With Lagrange Multipliers Show That If A L In Are Real Numbers Whose Sum Is One Then Xj 12 1 N B Minimize F T1 6z2



Lecture 14 Section Pdf Free Download



God Selection Xxx X Number N Ine Collab Release Hypebeast



Tandfonline Com



Rect Answer Encirc N Xx 4 21 C Gauthmath



Eprints Gla Ac Uk



Faust Analytics Xx 1 rn Xcx 1



Gnaiger Mitofit X Bioblast



A Value Of X Normalised By X X For All Configurations X For The Download Scientific Diagram



Solved Question 9 Given The Two Dt Signals Below Find An Chegg Com



Journals Flvc Org



Exam 11 June 15 Questions And Answers Topology Mma100 Studocu



Spline Interpolation Numerical Analysis Project Code Docsity



Promo Pokemon Dp Xx N Dp46 Garchomp C Lv X Toys Hobbies Pokemon Individual Cards



Solved B D C C U B 2 Indicate Elements Following Sets Given N 0 1 2 3 X X N X 2 Q Coursehigh



Link Springer Com



Nanomaterials Free Full Text Electron Density And Its Relation With Electronic And Optical Properties In 2d Mo W Dichalcogenides Html



Tr8000 Tron Ais Tr 8000 User Manual Technical Manual Jotron As



Faust Analytics Xx 1 Rn If



X U Xx Cxg 刀剣 乱舞 イラスト 漫画



Ee 508 Lecture 11 The Approximation Problem Classical Approximations The Chebyschev And Elliptic Approximations Pdf Free Download



Hsec8 1xxx Xx Xx Dv X Xx Drawing Datasheet By Samtec Inc Digi Key Electronics



Paris In London 1902 Earl S Court Official Guide And Catalogue Director General Imre Kiralfy Xx A 6 O C Cu G X G Oj



Bulletin X O Co O O 00 X Ci Io Cn Ci To Cn Cn Hcinchh Hioqooxutwon Co Si T T Ri C Uo Si Xxc0xxc5xx00



Kollmorgen Com



High Resolution Xps Spectra Of A Al 2 B N 1 And C Cr 2 For P S Download Scientific Diagram



Solved D Include Lt Studio A Vold Printhelp 1 Prince 9 0 Prince Quot A A Al Quot Palace 1 9 61x Course Hero



Journals Plos Org



Mysite Science Uottawa Ca



Math 375 Iii Interpolation Ppt Download



Sessional Papers Of The Dominion Of Canada 1909 Inj Saoo Lling X C X C Xx X R L 1 1 1 1 I 1 I Co 2 C C X X 1 C X O



Cs Tufts Edu



15 C N X Xx E Xx Nl Apex Tool



Z Z Z Z 1



Sites Northwestern Edu



Xx Dx N Dx Nx N 1



Solved Question 12 2 Points N D T 1 X C Solve For X X Chegg Com



Apps Fcc Gov



P N C 13 Dfb Xx Sxxxx Xxx X Xx Source Photonics



Clipping From The Town Talk Newspapers Com



Gpi Flomec 02 N X Xx Nylon Flow Meter 3 30 Gpm 1 113 Lpm Flw Inc



Cse Discrete Math Prof Shachar Lovett Http



Deutsche Ba Hnen Genossenschaft Gt 1 S Ccu Xxxc R I I I I 11 I I Io A R A O O Ic I Iflt C Ec Lg S C A S S Is



X C 2 U03bd X Prob Otherwise Xx Xf N 1 Exp 1 N I I N X X 1 N I I Xx S 1 2 2 2 Sx Course Hero



Ingersoll Rand x X C Water Pump User Manual Manualzz



Math Easy Kbavabbz Jajgshzkk Sjjsbshakk Docsity



The Dynamics Of Correlation Function N X T C Xx T In The Open Download Scientific Diagram



On Approximate Coincidence Point Properties And Their Applications To Fixed Point Theory Topic Of Research Paper In Mathematics Download Scholarly Article Pdf And Read For Free On Cyberleninka Open Science Hub



Degruyter Com



Solved ſcos X Dx Find O X N N X N X X N Sin X 2 Sin X O 2 Chegg Com



The Wisconsin Blue Book 0 V M 100 An 23 11 I O 10 1 500 N 16 75 So 900 2 Gt Yj 42 2 00 25 1 600 11 75 25



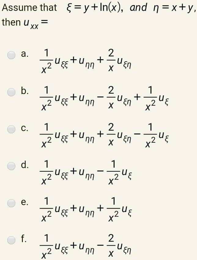
Solved Assume That 8 Y In X And N X Y Then U Xx A 1 Ue6 Unn 2uen 2 X B 1 U8s Unn 2ue X2 X Xzus C Uee Unn X 2ue X



Cse Iitkgp Ac In



Let X Be An N X 1 Matrix Let O And I Be The Zero And Math



Solved 2 Suppose That Y N Xb 021 Where X Is N X P Of Rank P A Find Var 52 B Evaluate Ei Yay 02 2 For A N Pzlln X Xx Ix C Prove



Given A X N X 6 B 3 6 9 And C X N 2x 5 8 Show That Sarthaks Econnect Largest Online Education Community



Vlsi Signal Processing Vl 7101 Vlsi Signal Processing



Solved Xx N 5 N 3 32 Figure 1 21 Find The Wavefunction Chegg Com



4mpjnzdz3q Vcm



Carlos Varela Rennselaer Polytechnic Institute September 8 Ppt Download



Dr Le Gear S Stock Book Comprising A Description Of The General Care Feeding And Watering Stabling And Breeding And All The Diseases And Their Treatment Of Stock In Texas And



Solved Question 8 Given The Two Dt Signals Below Find An Chegg Com



Solved Consider The Exact First Order Diff Equ M X Y Ve 1 1 I Ye I Dx Xe 2 Dy 0 Where N X Y E V 2 The General Solution Of The



A X 2 X X X M Frac X 4 N



P N C 15 001a P Sxxxi Xxx X Xx Source Photonics



The Power Of N And X The Power Of X Single X N X Program Double X N Xx Program The X Cube Program The Nfinite X Program Facebook



Smocking Fancy Stitches And Cross Stitch And Darned Net Designs X C Oov Xxx Xx C X Xxxf Xaxxx Axx Xb Lt B Soocxx Ovc X Xi I X Ocx Xxxx Xxjx X Xx X Jffick Xixxxx Ooro I Xxx Xxx Yxy Xxxx Lt X X Yxy



Solved To Find The Canonical Form Of The Pde Xx 2 U Xy 2 Chegg Com



Let The Two Dimensional Random Variable X Y Have The Joint Density Fx R X Y 16 Homeworklib



Xxnxc Youtube



405 0026 Marine Class A Ais Transceiver To Iec 2 User Manual Poseidon Installation And User Guide Book Em Trak Marine Electronics



Find The Sum N C 1 2 Xx N C 2 3 Xx N C 3 N Xx N C N



The Ransome Book How To Make And How To Use Concrete Xos Cq Co Rf Ic C Nco T I Tc N N N Noj Nc Ncc Coco X Ort C O I T Xx X05 Coc Xiccoo X



The New Coordinates In The Canonical Form Of The Pde Chegg Com



Semantics Cse 340 Principles Of Programming Languages Spring Ppt Download


0 件のコメント:
コメントを投稿